- Se alistando como investidor!
- Antes de começar investir é preciso poupar!
- Padrão de vida!
- Formas de aumentar a renda
- Tipos de Investimentos
- Renda Fixa
- Letras do Tesouro Direto
- Debêntures
- CDB e LC
- LCI e LCA
- CRI e CRA
- Renda Variável
- Ações
- ETF
- Fundos Imobiliários
- Dólar
- Ouro
- Bitcoin (Criptomoedas)
- Construção de uma Carteira
- Segunda Carteira
- Conclusão das duas carteiras
- Carteira de Fundos Imobiliários
- Carteira de FII 2 (BRCR11 + KNCR11)
- Mas então, porque investir em fundos como
BRCR11? - Investindo em BRCR11 em outro momento
- Carteira com Ações (ITSA4)
- Independência Financeira
- Padrão de Vida
- Construindo o patrimônio
- Inflação no futuro?
- Mas então, qual valor poderia me assegurar à
atualização anual do poder e compra? - Três Fatores!
- Simulação com o Tesouro IPCA
- ETF BOVA11 e IVVB11
- ETF BOVA11 + CDB 100% CDI
- Final
Se alistando como investidor!
Escolher se tornar um investidor não é uma tarefa fácil! Poucas pessoas realmente conseguem se tornar investidores. Acredito que pouquíssimas pessoas, na verdade.
Só para deixar claro, quando eu digo investidor, estou falando em se dedicar e procurar por conhecimento, ir atrás de oportunidades. Resumindo; fazer e acontecer!
Também acredito que a forma mais “fácil” de conquistar algo na vida é se tornando um investidor.
Na realidade, não tenho mais dúvidas! Se tornar um investidor é algo que pode mudar sua vida para sempre.
Porém o fato de se tornar investidor, na realidade, não vai lhe trazer mudanças rápidas. Se tornar investidor é um processo que leva tempo.
Na verdade a mudança em si pode ser radical, mas tem a tendência de ser gradual. Já os resultados, esses sim, serão mais demorados. Mas isso é o risco!
O risco é diferente do empreendedor. Por exemplo, o empreendedor possui o risco do negócio não dar certo.
Quando a empresa não vai para frente e não rende os valores que se esperava, o dinheiro investido pelo empresário pode ser totalmente perdido.
Há mas então vamos empreender com pouco dinheiro! (o leitor pode pensar) Empreender com pouco dinheiro é algo extremamente difícil.
Para conseguir abrir uma empresa, você terá que contar com no mínimo, um contrato social, as taxas pagas para abertura da empresa e eventuais alvarás.
Tecnicamente, em valores atuais (2018) o empreendedor “novato” teria que arcar com algo similar a R$ 1.500,00 para abrir sua empresa!
Até aqui não contamos com um possível aluguel, contratação de funcionários e afins. Portanto o custo inicial, ou melhor, o investimento inicial de um empreendedor pode ser muito alto.
Já o investidor tem o perigo do tempo. Para começar a investir é possível construir uma carteira com pouco dinheiro, e aos poucos, você pode ir ampliando os seus investimentos.
Então o risco que o investidor corre nesse exemplo, está relacionado ao tempo. Mesmo que suas aplicações consigam auferir um bom resultado, os aportes e o seu padrão de vida vão ditar o sucesso da sua estratégia. Ou pelo menos vão influenciar de alguma forma!
Analisando o que acabei de escrever nesse início, vejo uma grande sopa de letras sem muita claridade. Acho que isso se deve a duas coisas;
- Minha dificuldade de expressar a ideia.
- E a minha vontade de dizer tudo de uma só vez.
Aí saiu isso aí! Vamos lá! Vamos tentar melhorar a ideia. Tudo vai começar por meio de sua opção. Da sua escolha! Você é o ator principal da sua própria vida!
Pode parecer algo simples, e que todos sabem na realidade, mas na verdade não é bem assim. Vejo muitas pessoas vivendo a vida, como se fossem as coadjuvantes.
Ao escolher os investimentos, você terá a chance de conquistar coisas na vida que podem se extremamente complexas e por vezes impossível para grande parte das pessoas.
Mas os resultados, ou as conquistas, ocorrem ao longo de anos. Lógico, tudo isso vai depender de algumas coisas que vamos tratar nessa obra.
Esse capítulo se trata do seu alistamento como investidor. Então vamos lá, você fez a opção por se tornar um investidor! Essa opção está baseada na mudança! Você quer conquistar várias coisas na vida, sendo que uma delas, provavelmente é a independência financeira, correto?
Caso você não conheça essa expressão, é o seguinte; ao conquistar a independência financeira, você terá em mãos, ativos que poderão lhe gerar renda suficiente para viver tranquilamente além de condicionar, periodicamente, amentos cobrindo a possível inflação do período.
Ou seja, ao conquistar essa tal independência financeira, você teoricamente não precisará mais trabalhar!
Isso também é o objetivo daqueles que querem empreender. Mas esse não será o seu caso, ao menos não no momento. Se lembre, você quer ser um investidor!
Antes de começar investir é preciso poupar!
Os seus investimentos só vão acontecer se houver dinheiro! Portanto, não adianta em nada pegar dinheiro emprestado, ou esperar pelo décimo terceiro salário para aí então, começar a investir.
Se a situação no momento não é das melhores, você deve tornar a situação melhor, e assim, começar imediatamente a investir.
Então, antes de começar a investir você precisa criar o hábito de poupar.
Para poupar parte de sua renda você, teoricamente, você precisa gastar menos dinheiro do que arrecada.
Desse modo, todos os meses você vai conseguir investir parte de sua renda.
Se isso ainda não é a sua realidade, então, será necessário levantar todas as suas despesas e averiguar o que pode ser cortado.
Esses cortes e ajustes nas finanças são importantes, uma vez que através desses cortes, o dinheiro vai começar a “sobrar”.
Mas o que você poderia cortar do seu orçamento? Bom, por experiência própria existem várias coisas que podem entrar na sua mira, na hora de reduzir as despesas mensais. Segue alguns itens que você pode analisar;
- Parar com o refrigerante, e focar na água.
- Reduzir a bebida alcoólica
- Reduzir o consumo de salgadinhos, doces em geral e semelhantes.
- Analisar suas despesas fixas atuais (por exemplo, será que não existe uma academia próxima da sua casa, ou quem sabe, algo mais em conta?).
- Se você possui cartão de crédito, participe do programa de pontos!
- Se o seu cartão não oferece esse tipo de serviço, então, veja se o seu cartão cobra tarifas. Se o seu cartão cobrar, então, não existem motivos para permanecer com o mesmo.
- Não pague mais tarifas bancárias. Se a sua conta possui uma taxa mensal, veja junto ao seu gerente a opção de deixar a conta sem custos.
- Compre roupas, e demais itens quando as lojas estiverem oferecendo descontos.
- Se você gostar de sair aos finais de semana, tente reduzir os custos com essas saídas, ou até, evite sair frequentemente. Tente fazer isso uma vez a cada duas semanas, ou coisa do gênero.
Enfim, ainda existem outros pontos que podemos analisar em nossas contas.
Mas basicamente, os pontos levantado podem ser implementados, e assim, você deixará de gastar mais do que deveria.
Padrão de vida!
O padrão de vida também é algo fundamental quando estamos em busca da independência financeira, ou de condições melhores de vida.
Gastar mais, ou consumir mais, necessariamente, não quer dizer que nossas vidas serão melhores.
Por isso tente trabalhar com padrões de vida diferentes e sustentáveis.
Por exemplo, você pode ter um padrão de vida “mínimo” onde você pode listar itens e serviços que são básicos para você.
De forma bem simples, vou tentar demonstrar o que pode ser considerados gastos básicos e, portanto, um padrão de vida “mínimo”;
- O pagamento do aluguel
- Condomínio
- Comida (gastos mensais, que possa envolver tanto supermercados quanto restaurantes)
- Luz, Telefone, Água, Gás, Internet.
- Transporte
- Itens de higiene, remédios e afins.
Você pode ver que todas essas despesas, de alguma forma estão presentes na vida de boa parte dos brasileiros.
Também é possível identificar que não existem gastos com combustível, ou manutenção do veículo.
Devido ao gasto ser mínimo, ou seja, o mínimo do mínimo, você não precisa de um carro para sobreviver (transporte público)e tão pouco um plano de saúde (existe o SUS).
Agora você já pode trabalhar com um valor mínimo. Nessa situação, o valor mínimo, poderia ser de algo em torno dos R$ 1.500,00 a R$ 2.000,00.
Tudo isso pode depender ainda do valor do aluguel, da comida e demais serviços e itens,
Formas de aumentar a renda
Poupar e identificar o seu padrão de vida são coisas muito importantes, principalmente para aqueles que buscam a independência financeira ou algo do gênero.
Porém existe outra coisa que pode ajudar bastante nesse objetivo, é construir novas formas de renda. Atualmente existem várias formas de incrementar a renda, dentre elas posso citar a área de Freelancers e até o Uber.
Através de sites como 99 Freelas e Workana, qualquer pessoa pode se candidatar a um trabalho como Freelancer.
Ao conquistar o trabalho, você poderá desempenhar um bom serviço, conquistando o valor do projeto. Ao terminar o projeto você pode ganhar recomendações dos seus clientes.
Esse dinheiro que entra por meio dos trabalhos pode ajudar bastante na caminhada para conquistar a independência financeira.
Se você conseguir contar com certo valor de renda através dos seus investimentos, e mais uma parcela por meio dos seus trabalhos, então, você tecnicamente já pode se considerar “independente”.
Independente, do seu trabalho de carteira assinada, pelo menos (lembrando que isso vai depender dos valores levantados por meio dos investimentos e do trabalho como Freelancer).
Depois, ampliando ainda mais as suas receitas, será possível aumentar o seu patrimônio e os valores dos seus investimentos.
Consequentemente, uma hora, você não vai mais depender de nada, o seu dinheiro vai conseguir gerar o valor suficiente para viver.
Tipos de Investimentos
O mercado financeiro possui diversos tipos de investimentos. Os ativos disponíveis no mercado vão muito mais além do Tesouro Direto, ou das ações.
Existem ETF, Fundos Imobiliários, Debêntures, CRI, LCI entre vários outros tipos de ativos.
Cada um deles possui suas características e suas “funções”, digamos assim.
Para conseguir compreender melhor cada ativo, vamos analisar todos eles (ou pelo menos, aqueles que são mais relevantes).
Renda Fixa
Os ativos que integram a renda fixa são aqueles que possuem os seus rendimentos pré-estabelecidos.
Quais ativos possuem a rentabilidade pré-determinada? Segue;
- Letras do Tesouro Direto
- CDB (Certificado de Depósito Bancário)
- LC (Letras de Crédito)
- LCI e LCA (Letras de Crédito Imobiliárias e do Agronegócio)
- CRI e CRA (Certificados recebíveis Imobiliários e do Agronegócio)
- Debêntures
Ainda existem outros ativos que poderíamos mencionar aqui, porém, vamos focar nos ativos que, eventualmente, poderão ser citados mais a frente.
Para cada um dos ativos mencionados na lista haverá uma breve explicação sobre o funcionamento do mesmo. Vamos lá!
Letras do Tesouro Direto
O Tesouro Direto é o ativo mais seguro do Brasil. Quando me refiro a ativo, estou falando em investimentos mesmo.
Então, comparado aos seus similares, o Tesouro Direto é o mais seguro.
A sua segurança vem do Tesouro Nacional. Tecnicamente, se o Tesouro Nacional, por ventura, não pagar aos investidores os juros, ou até mesmo os valores aplicados (calote) é bem provável que o Brasil como um todo esteja em uma situação bem pior.
Ao chegar a um ponto assim, de “calote” é bem possível que boa parte das empresas já estejam falidas ou se encaminhando para tal situação.
Em minha opinião, acredito que o Tesouro Nacional, mesmo passando por dificuldades, não tem motivos para dar o calote na dívida interna.
Mas enfim, um calote eventual, pode ocorrer. Nada é perfeito! Mas então, quais são as letras que compõem o Tesouro Direto?
- Tesouro Selic
- Tesouro IPCA
- Tesouro Prefixado
O Tesouro Selic é a letra mais tranquila dentre as três. O Tesouro Selic, como o próprio nome já diz, segue a taxa Selic.
O rendimento dessa letra segue de perto as variações da taxa Selic. Então, se a taxa Selic está em 6,5% ao ano, o Tesouro Selic provavelmente vai remunerar o investidor nos mesmos 6,5% ao ano (talvez com uma pequena diferença, uma vez que existem os emolumentos cobrados pela bolsa).
O Tesouro Selic é uma excelente alternativa para investir recursos de reserva, ou que podem ser utilizados no curto prazo (emergências, novos investimentos e afins).
O Tesouro IPCA por sua vez possui duas versões. Existe o Tesouro IPCA com pagamento dos juros e principal só no vencimento e existe a versão que paga ao investidor, os juros semestrais.
Quaisquer umas das duas formas de investir no Tesouro IPCA são válidas.
O Tesouro IPCA possui o rendimento atrelado ao IPCA (inflação) mais uma taxa de juro prefixada.
Essa taxa de juro serve como o ganho real do investidor. O Brasil é um país que possui uma inflação alta (em comparação com grandes economias).
Portanto, é preciso levar em consideração a nossa inflação quando o assunto é investimentos. Não é possível aplicar recursos em um investimento que ofereça rentabilidade similar ou inferior a nossa inflação.
Por isso fique atento a nossa inflação! Um olho na inflação e outro no rendimento!
Além dessa diferença (nos rendimentos) o Tesouro IPCA possui outra grande diferença para o Tesouro Selic.
O Tesouro Selic não sofre influência do mercado, por exemplo. Só de forma direta, por meio da taxa Selic, porém, se o juro futuro subir, ou descer, essa volatilidade em nossas expectativas de juro não influenciam o rendimento do Tesouro Selic, mas no Tesouro IPCA, sim!
Então por se tratar de uma letra que possui parte do seu rendimento atrelado a um juro prefixado, o Tesouro IPCA sofre influência do mercado.
Principalmente quando a letra é de longo prazo (por exemplo, o Tesouro IPCA+ 2045).
Uma letra assim vai sofrer bastante volatilidade até chegar próximo do seu vencimento.
Quando mais longo for o período para vencimento do papel, mais influência do mercado essa letra irá sofrer.
Resumindo; no curto prazo, o investidor pode acabar resgatando a letra e realizando prejuízo com a mesma!
Mas se o investidor pode acabar tendo prejuízo, o contrário também pode acontecer! Você pode registrar lucro no curto prazo!
Enfim, o mais indicado é comprar o Tesouro IPCA tendo em mente, manter o papel até o seu vencimento.
O Tesouro Prefixado é bem semelhante ao Tesouro IPCA, porém, no caso do prefixado, não existe a correção pela inflação.
Porém, por meio do Tesouro Prefixado, você pode obter rendimentos maiores.
Vamos supor que a taxa Selic esteja-nos 6,5% ao ano e a inflação vá para a casa dos 3% ao ano.
Dificilmente a taxa de juro irá subir, uma vez que a inflação está sob controle.
Portanto, para aquele investidor que comprou Tesouro prefixado, pagando uma taxa de algo próximo dos 10% ao ano, a eventual redução na rentabilidade dos papéis pode trazer ganhos no curto prazo.
É bom destacar o seguinte; quando o valor do principal da letra sobe, geralmente a taxa de juro da mesma desce. Quando a taxa de juro (rendimento) da letra sobe, o valor do principal desce. Isso acontece com as letras que possuem taxa de juro prefixada.
Debêntures
As debêntures são ativas de renda fixa bem semelhantes aos demais ativos que já vimos (Tesouro Direto). A diferença fica por conta da origem do papel.
As debêntures são títulos emitidos pelas empresas e são negociadas no mercado. Primeiro acontece uma oferta pública, semelhante às ações e FII, depois os investidores que compraram os títulos, podem permanecer com os papéis sobre custódia, ou podem negociar os mesmos.
A liquidez do mercado de debêntures é pequena, nada semelhante ao de ações e de FII.
Além disso, os títulos não são dos mais seguros. Ao contrário do que acontece com os CDBs, LCI, LCA e LC, as debêntures não possuem garantia do FGC.
Mas os rendimentos das debêntures podem ser bem interessantes. Existem até, algumas debêntures que contam com isenção de IR. Estamos falando das debêntures incentivadas!
Essas debêntures (que fomentam a área de infraestrutura) contam com a isenção do governo federal. Desse modo o rendimento é ainda mais alto.
Existem debêntures que podem ser adquiridas com rendimentos próximos dos 7% ao ano mais IPCA!
Ao analisar o mercado, acredito que existam mais debêntures com rendimento atrelado a inflação mais uma taxa de juro prefixada do que atrelado a outros rendimentos (como o DI, ou quem sabe ao dólar).
O valor de cada debênture também pode ser salgado, o valor de uma debênture pode chegar aos R$ 1.000,00 ou algo próximo.
Ou seja, é difícil até construir uma carteira com várias debêntures diferentes. Mas então o que podemos fazer para nos beneficiar dos rendimentos acima da média e não correr tantos riscos?
Fundos de investimento em debêntures incentivadas é o nome da solução!
Por meio dos fundos de debêntures incentivadas, os resgates realizados são isentas de IR! Desse modo você pode se beneficiar da isenção, mas através do fundo, você estará contando com uma carteira diversificada e sem problemas de liquidez ou coisas do gênero.
CDB e LC
O CDB é um dos ativos mais conhecidos do mercado. Praticamente qualquer banco possui algum CDB para oferecer, as corretoras independentes por sua vez possuem vários CDBs. Até os grandes bancos de varejo contam com tais produtos.
Dentre todos os ativos, acredito que o CDB é um dos mais comuns. Mesmo assim, sendo um tanto quanto comum, o CDB pode oferecer bons ganhos aos investidores.
Os grandes bancos, como o Itaú trabalham com um CDB que oferece algo em torno dos 73% do DI, porém, tal produto ainda conta com um rendimento progressivo. Portanto quanto mais tempo você permanecer aplicado, maior poderá ser a porcentagem em cima do DI. Vamos supor que você permaneça até o fim do produto, esse CDB pode lhe remunerar em até 90% do DI.
Já os bancos menores costumam oferecer CDBs com vencimentos diferentes, mas sem liquidez. Ou seja, se você comprar um CDB que possui um vencimento para 5 anos, os recursos aplicados nesse papel, só serão resgatados após os 5 anos (após o seu vencimento).
Por contarem com vencimentos longos, tais CDBs podem oferecer ótimos rendimentos! Sendo que a rentabilidade pode ser atrelada aos mais diferentes índices. Os rendimentos podem ser atrelados ao CDI (DI), IPCA, IGPM e até prefixados entre outras formas.
A LC também segue os padrões do CDB. Tanto o CDB quanto a LC são garantidos pelo FGC em até 250 mil reais por CPF e por instituição.
Com essa garantia, o investidor pode ficar mais tranquilo! Mas nem tanto! Pesquise bem antes de sair por aí investido em qualquer instituição.
LCI e LCA
As letras de crédito, como as LCI e LCA são bem semelhantes aos CDBs, porém, essas letras possuem isenção de IR!
Da mesma forma que acontece com as debêntures incentivadas, mas no caso das LCI e LCA, ambas as letras são amparadas pelo FGC, ou seja, existe uma garantia.
Vale lembrar que as LCI e LCA não contam com liquidez diária. Tecnicamente, as LCI e LCA possuem um tempo mínimo para vencimento, que é de aproximadamente 6 meses.
Fora esse detalhe do vencimento, as LCI e LCA são considerados uma das melhores formas de investir visando o curto e médio prazo.
Uma das desvantagens dessas letras está relacionada à sua acessibilidade. Às vezes, as instituições podem ficar sem emitir LCI e LCA, desse modo, o investidor deve aguardar pela próxima emissão, ou procurar por outra instituição que ofereça tais letras.
CRI e CRA
Os certificados de Recebíveis Imobiliários e do Agronegócio são semelhantes à LCI e LCA, porém, os CRI e CRA não contam com a proteção do FGC e podem contar com vencimentos bem longos, acima dos 5 e até 10 anos.
Outra diferença para as LCI e LCA está com a forma de negociação dos títulos. Enquanto as LCI e LCA são emitidas por bancos, as CRI e CRA são emitidas por outras instituições. Funcionam quase como se fosse uma empresa abrindo capital na bolsa.
Existe uma oferta pública, e os interessados podem comprar os certificados, mantendo os mesmos sobre custódia.
A liquidez do mercado também é pequena, sendo que os valores dos certificados são altos.
Então, é interessante investir em tais certificados por meio de FII. Existem FII que investem somente em CRI por exemplo.
Renda Variável
Diferente da renda fixa, na renda variável o investidor não tem conhecimento do rendimento que pode obter com determinado ativo.
Sem falar que tais ativos, eventualmente, podem trazer perdas também.
Os produtos de renda variável, em grande parte são negociados na bolsa de valores, ou são influenciados pela bolsa. Dentre eles podemos citar;
- Ações
- ETF
- Fundos Imobiliários
- Dólar (fundo cambial)
- Ouro
- Bitcoin (Criptomoedas)
Todos os ativos mencionados são considerados de renda variável. Agora vamos descrever um por um, com um pouco mais de detalhes.
Ações
As ações funcionam como pedaços de uma empresa. Quando uma empresa abre o capital na bolsa, os investidores que forem participar, comprando ações da firma, de uma forma ou de outra, acabam comprando pedaços da mesma.
As ações são negociadas em bolsa, portanto a liquidez das mesmas vai depender bastante do mercado.
Existem ações com liquidez bem alta, mas também há situações, onde as negociações são pequenas, ou difíceis de ocorrer.
Portanto sempre dê preferência para empresas que tenham boa liquidez no mercado, desse modo, se você precisar, será, mas fácil e negociar as ações.
Vale lembrar que investindo em ações, o acionista poderá ter direito de receber dividendos e juros sobre o capital próprio. Se a empresa fizer as distribuições, o acionista também receberá (parte que lhe cabe).
O interessante, em minha opinião, é investir em empresas que paguem bons dividendos.
No momento em que escrevo essa obra, distribuições na casa dos 5% ao ano, são bem interessantes. Acredito que dependendo da firma, uma distribuição de até 3% ao ano, também válida.
É bom destacar que atualmente, em nosso mercado, algumas ações estão divididas em PN e ON.
As PN são as preferências, essas ações possuem preferência para receber os dividendos, já as ON, são as ordinárias, com elas, você terá direito a voto.
Em minha opinião, o negócio mais interessante é investir nas PN mesmo.
ETF
Os ETFs, ou “Extended Traded Funds”, são os fundos de índice. Esses fundos, ETF, são negociados em bolsa, diferente dos fundos convencionais de investimento.
Atualmente, no Brasil, o mercado de ETF ainda não é tão diversificado (como ocorre nos Estados Unidos, ou em outros países), ainda existem poucos ETF, mas os principais, a meu ver são;
- BOVA1
- IVVB11
BOVA11 segue de perto as oscilações do índice Ibovespa. Dentro desse fundo existe uma “cópia” do índice, já com relação a IVVB11, esse fundo segue de perto o índice S&P 500 dos Estados Unidos. Mas ao invés de contar com uma carteira que é a cópia do índice, o ETF acaba contendo na carteira cotas do ETF americano, IVV.
Os ETF podem ser negociados em lotes de 10 cotas, sendo que há o mercado fracionado também.
Fundos Imobiliários
Ao comprar cotas de Fundos Imobiliários (FII), o investidor estará comprando um pedaço de um empreendimento.
Caso o FII não seja de “tijolos”, então a participação pode ser sobre papéis com lastro em imóveis ou de fundos de FII. Os FII são negociados a partir de uma cota, sendo que existem fundo com valor de mercado inferior aos R$ 5,00!
Uma das regras dos FII que mais atraem os investidores está relacionada à suas distribuições.
Os FII distribuem até 95% das receitas auferidas no período. Portanto, é comum ver FII realizando ótimas distribuições podendo chegar a marcas acima da taxa Selic.
Existem vários tipos de fundos disponíveis no mercado. Desde fundos que investem em lajes corporativas, até FII que possuem participação em shopping centres e galpões logísticos, além é claro, dos FII que possuem a carteira recheada de CRI.
Dólar
O investimento em dólar, muitas vezes é realizado com o intuito de construir uma espécie de seguro para o seu patrimônio.
Uma vez que estamos no Brasil, boa parte de nossos investimentos e até o nossas receitas são cotadas em reais. Sendo assim, qualquer oscilação entre o real/dólar pode influenciar em nossos rendimentos.
Portanto, é natural manter parte do nosso patrimônio alocado em dólares. O investimento pode ser feito de várias maneiras, mas a mais interessante é por meio da compra de cotas de fundos de investimento cambiais.
Um desses fundos é o fundo Votorantim Cambial! Esse fundo possui valor de entrada de R$ 1.000,00! Um dos menores do mercado!
Ouro
O investimento em ouro também pode ser realizado visando proteção ainda maior da carteira. No longo prazo (longo mesmo), o ouro ganha da inflação, portanto, consegue proteger o seu patrimônio de possíveis oscilações do mercado e ainda fornecer a correção adequada ao seu poder de compra.
Uma das melhores formas de investir em ouro também é por meio dos fundos de investimentos.
A Órama possui um fundo que segue de perto as oscilações do ouro BM&F, o fundo é o Órama Ouro FIM.
O investimento inicial é de R$ 1.000,00, sendo que eventuais movimentações, também possuem esse mínimo.
Bitcoin (Criptomoedas)
As criptomoedas são uma nova classe de investimentos. Na verdade, mesmo existindo desde 2008 (se não me engano) as criptomoedas ainda possuem um lugar, um tanto quanto incerto no mundo dos investimentos.
Em minha opinião, as cripto ainda não funcionam como uma espécie de seguro, semelhante ao dólar ou ao ouro, porém, no futuro, as mesmas podem se encaminhar para algo do gênero.
O Bitcoin, até o momento, é a principal criptomoeda do mercado. Essas moedas digitais, como Bitcoin, trabalham com uma tecnologia chamada de Blockchains (cadeia de blocos), por meio dessa tecnologia as operações entre pessoas (utilizando o Bitcoin) podem ser registradas e novas moedas podem ser criadas. Resumindo, o Blockchains é peça principal na estrutura do Bitcoin, e de boa parte das criptomoedas.
O investimento em Bitcoins pode ser feito por meio de corretoras especializadas, sendo que no Brasil, temos a Mercado Bitcoin.
O Bitcoin, como boa parte das outras criptomeodas, possuem bastante volatilidade. Ou seja, em um dia o Bitcoin pode estar valendo 6 mil dólares, e no outro, ou de repente no mesmo dia, a cotação da criptomoeda pode cair mil dólares, ou subir dois mil dólares! Então, se for investir, faça isso com cuidado e com uma parcela pequena do patrimônio!
Construção de uma Carteira
A construção de uma carteira de investimento é algo um tanto quanto complexo, porém não é impossível.
Para aqueles que estão iniciando no mundo dos investimentos, e querem conquistar a independência financeira, será preciso construir uma carteira com poucos ativos.
Vamos presumir que o investidor iniciante não tenha muitos recursos, ou melhor, que o mesmo tenha condições de iniciar sua carteira com R$ 1.000,00, e todo o mês consiga aumentar a carteira com aportes de R$ 200,00.
Em uma situação assim, acredito que uma carteira constituída por ativos de renda fixa seja a melhor solução. O Tesouro Selic e o Tesouro IPCA podem ser ótimas alternativas!
No momento em que escrevo essa obra, a taxa Selic está na casa dos 6,5% ao ano, sendo que a inflação possui o centro da meta em 4,5%, porém, existe uma expectativa para o centro convergir para os 3,75% ao ano Segue tabela com os títulos e as taxas praticadas pelo Tesouro Direto:
Analisando os títulos disponíveis no Tesouro Direto, acredito que as melhores alternativas para investimento seriam nas seguintes letras:
- 75% – Tesouro Selic 2023
- 25% – Tesouro IPCA+ 2024
Além do título, já inseri a porcentagem do papel na carteira. A meu ver, o investidor deve manter uma parcela maior em títulos do Tesouro Selic, uma vez que tal papel oferece a condição de resgate sem “perdas”.
Já o Tesouro IPCA pode, eventualmente, oferecer algum risco ao investidor. Esse risco só acontece se o investidor resolver liquidar sua posição antes do vencimento. Se aguardar até o vencimento, o resultado do papel será aquela contratada (IPCA mais a taxa de juro prefixada). Então os aportes ficariam mais ou menos assim;
- Aporte inicial; R$ 750,00 Tesouro Selic 2023/ R$ 250,00 Tesouro IPCA+ 2024.
- Aportes mensais; R$ 150,00 Tesouro Selic 2023/ R$ 50,00 Tesouro IPCA+ 2024.
Levando em consideração o investimento real no Tesouro Direto, será bem difícil conseguir comprar R$ 150,00 em letras do Tesouro Selic, portanto, vamos levar esse exemplo, somente como um parâmetro. A mesma coisa acontece como Tesouro IPCA. Só destacando que o Tesouro IPCA+ 2024 está oferecendo uma taxa de juro de 4,75% ao ano.
Segue tabela com a evolução do aporte inicial seguido dos aportes mensais. Nesse exemplo desconsideramos os vencimentos dos títulos e as eventuais retenções de imposto de renda;
Ao somar os valores referentes ao aporte inicial e os mensais chegamos ao valor de R$ 12.800,00.
O resultado final dessa evolução de 5 anos foi de R$ 15.535,19.
O resultado auferido por meio dos rendimentos é de R$ 2.735,19.
Esse ganho representa uma rentabilidade de aproximadamente 21%. Nada mal!
- Valor aplicado no exemplo (somando o aporte inicial mais os mensais): R$ 12.800,00
- Resultado final: R$ 15.535,19
- Receita Bruta: R$ 2.735,19
- Rentabilidade: 21%
Mas se o investidor permanecer com essa carteira e os aportes por mais anos, por exemplo, mais 20 anos o resultado poderia ser ainda maior!
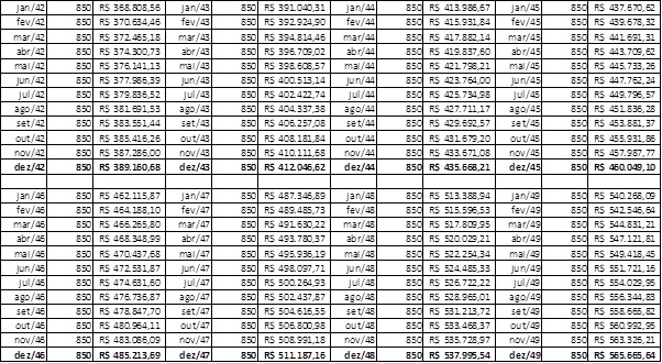
Vamos dar continuidade à simulação da carteira analisando o desempenho da mesma dentro do período de 20 anos! Segue tabela demonstrando a evolução:
Mantendo a estratégia anterior por 20 anos, o investidor alcançaria um patrimônio muito maior. Com o fator “tempo” a seu favor, o investidor consegue potencializar ainda mais os seus ganhos e assim aumentar o seu patrimônio.
Se antes, em 5 anos, houve uma rentabilidade de 21%, agora com 20 anos, a carteira obteve uma rentabilidade de nada menos do que 337%! Essa diferença de 15 anos potencializou o rendimento do investidor em mais de 300%! Lógico, esse resultado se deve aos aportes que se mantiveram, além da simulação, mantendo a Selic em 6,5% e o IPCA em 3,75%.
- Valor aplicado no exemplo (somando o aporte inicial mais os mensais): R$ 24.800,00
- Resultado final: R$ 108.611,77
- Receita Bruta: R$ 83.911,77
- Rentabilidade: 337%
Lembrando que todos esses resultados não levam em consideração a retenção de impostos durante o processo ou qualquer outro tipo de imposto ou tarifa.
Até aqui levamos em consideração uma carteira “simples”, com produtos que podem ser adquiridos no Tesouro Direto. Uma carteira mais conservadora, se assim podemos chamar. No próximo exemplo da carteira, ou simulação, vamos introduzir produtos de renda fixa mais arrojado.
São produtos que contam com a proteção do FGC, porém não vão contar com a liquidez diária, e estarão atrelados a instituições financeiras de pequeno e médio porte.
Segunda Carteira
Nesta segunda carteira vamos trabalhar com o mesmo valor de aporte inicial, porém, os aportes mensais serão maiores! Agora os valores ficaram assim:
- Aporte Inicial R$ 1.000,00
- Aporte Mensal R$ 250,00
O novo ativo que vamos inserir na carteira será o CDB Prefixado! Bom, se antes, já havia o Tesouro Selic e o Tesouro IPCA, agora teremos um CDB Prefixado. A proporção da carteira ficará assim:
- 60% – Tesouro Selic 2023
- 20% – Tesouro IPCA+ 2024
- 20% – CDB Prefixado
Os dados levantados do Tesouro Selic e do Tesouro IPCA continuarão sendo usados. O CDB pode ser adquirido nos mais diferentes bancos.
Nessa simulação usamos dados dos CDBs oferecidos pelo BMG Invest e pelo Banco Sofisa. Essas duas instituições oferecem CDB Prefixado com taxas que giram em torno dos 10% ao ano (no momento em que escrevo essa obra). Então os rendimentos de cada ativo será o seguinte:
- Tesouro Selic 2023 – 6,5% ao ano
- Tesouro IPCA+ 2024 – IPCA – 3,75% ao ano + Juro Pré-fixado 4,75% = 8,5% ao ano
- CDB Prefixado – 10% ao ano
Lembrando que o Tesouro Selic possui a sua rentabilidade indexada a taxa Selic. Sendo assim, se a taxa subir, ou for elevada pelo Banco Central, consequentemente a rentabilidade do Tesouro Selic também vai aumentar.
Já o CDB Prefixado já está com sua rentabilidade fixada, portanto, tanto a inflação pode subir quanto à taxa Selic que nada vai acontecer com o rendimento do papel Prefixado.
Entre outras palavras, o rendimento do título prefixado não sofrerá alteração se a taxa de juro subir, por exemplo. Por isso, considero esse tipo de papel um pouco mais arriscado que os demais.
Se o aporte inicial é de R$ 1.000,00, então a alocação dos ativos ficará assim;
- Tesouro Selic 2023 – R$ 600,00
- Tesouro IPCA+ 2024 – R$ 200,00
- CDB Prefixado – R$ 200,00
Os aportes mensais seguirão a seguinte configuração:
- Tesouro Selic 2023 – R$ 150,00
- Tesouro IPCA+ 2024 – R$ 50,00
- CDB Prefixado – R$ 50,00
Lembrando que essa carteira (Segunda Carteira) também vai contar com uma simulação de 5 anos e de 20 anos.
Segue tabela com o desempenho da carteira em um período de 5 anos:
Você poderá identificar que houve um bom crescimento com relação ao patrimônio final (em comparação direta com a primeira carteira).
Mas essa comparação não pode ser feita, uma vez que houve um aumento nos aportes mensais. Se antes os aportes estavam girando em R$ 200,00, agora eles são de R$ 250,00. Com esse aumento, o investimento sofreu um aumento de R$ 2.950,00 dentro do período de 5 anos.
A rentabilidade pode ser comparada, uma vez que a diferença do investimento será considerada para fins de cálculo. Então a Receita Bruta ficou em R$ 3.647,80. Sendo que a rentabilidade da carteira ficou em 23%. Segue os resultados da carteira:
- Valor aplicado no exemplo (somando o aporte inicial mais os mensais): R$ 15.750,00
- Resultado final: R$ 19.397,80
- Receita Bruta: R$ 3.647,80
- Rentabilidade: 23%
Só destacando que nesse resultado não está sendo contabilizados os impostos retidos e nem eventuais taxas.
Vamos dar continuidade à simulação, mas dessa vez aumentando o período da mesma. Se antes período era de 5 anos, agora será de 20 anos, segue a tabela:
Em 20 anos, a carteira alcançou uma rentabilidade de 377%! Comparada à primeira carteira, a adição do CDB Prefixado trouxe maior rentabilidade, elevando os ganhos em 40% (quando comparamos a primeira carteira com os mesmos 20 anos).
Devo lembrar novamente, essas simulações não estão levando em consideração a flutuação do mercado.
Em condições normais, o mercado pode variar bastante. Nossa taxa de juro pode subir como a inflação também pode sofrer aumentos.
Desse modo, em condições normais de mercado, investir em papéis prefixados pode ser algo mais arriscado.
Quando falo em papéis prefixados, ao menos nesse exemplo, estou me dirigindo ao título com rendimento totalmente prefixado (o CDB). Segue os resultados da carteira de 20 anos:
- Valor aplicado no exemplo (somando o aporte inicial mais os mensais): R$ 30.750,00
- Resultado final: R$ 146.969,73
- Receita Bruta: R$ 116.219,73
- Rentabilidade: 377%
Conclusão das duas carteiras
Ao analisar o desempenho das duas carteiras podemos concluir o seguinte;
Mesmo em um prazo “pequeno” de cinco anos, o aporte inicial e os aportes mensais, geraram um rendimento muito interessante.
Ao ampliar a simulação para 20 anos, os resultados foram ainda melhores!
A rentabilidade que antes estava na casa dos 21% a 23%, passou dos 300% em ambos os casos.
Na segunda carteira, quando inserimos um novo ativo, o CDB Prefixado, a carteira registrou uma rentabilidade maior.
No cenário de 20 anos, a rentabilidade foi 40% superior à primeira carteira!
Lógico, novamente, não estamos levando em consideração o contexto econômico.
Ao construir a carteira de verdade, o contexto econômico faz toda a diferença.
Identificando isso, resolvi realizar uma alocação menor no CDB Prefixado. O peso do CDB Prefixado ficou em 20% da carteira.
Enfim, O resultado final se mostrou bem interessante. Sem dúvidas, o investidor precisa levar em consideração o aumento dos aportes (caso seja possível) e o estudo de novos ativos.
Ativos que possam ser inseridos na carteira com o intuito de aumentar o desempenho!
Carteira de Fundos Imobiliários
Na carteira de FII não vamos misturar outros investimentos. Por exemplo, não vamos colocar (ao menos nesse início) a participação de outros ativos nessa carteira.
O foco será em cima dos FII. Lógico que as distribuições provenientes dos FII serão alocadas em outros ativos.
A primeira carteira de FII será simulada em cima de um FII com alta liquidez no mercado, que está entre os mais negociados e de maior peso no índice IFIX. Estamos falando do FII BRCR11.
Além dos dados já levantados sobre BRCR11 é preciso dizer que vamos basear nossa simulação em distribuições que já ocorreram com o FII.
Para contribuir com essa simulação vamos levantar o histórico do DI também (uma vez que as distribuições serão corrigidas pelo DI).
Segue o gráfico com o valor de mercado de BRCR11 (valor no momento em que escrevo):
O leitor pode ver que BRCR11 já registou um valor de mercado bem superior aos atuais R$ 99,95.
Para ser mais específico, BRCR11 em 10/2012 estava sendo cotado a R$ 153,16!
Então em nosso primeiro exemplo, vamos levar em consideração a compra de 10 cotas de BRCR11 em 5 de Outubro de 2012.
Esse investimento inicial exigiria um aporte de R$ 1.531,60.
Vamos levar essa simulação até Outubro de 2018. Desse modo a simulação terá um período de 6 anos.
Por se tratar de um FII, vamos considerar ao longo dessa simulação as distribuições.
Na verdade, as distribuições serão o fator principal de nossa simulação.
Querendo ou não, se o investidor analisar somente o valor de mercado das cotas de BRCR11, o mesmo estaria registrando, atualmente, uma desvalorização de nada mais, nada menos do que 34,74%!
Sendo assim, temos que avaliar se as distribuições conseguiriam, dentro desses 6 anos, oferecer algum tipo de compensação.
Nessa simulação vamos levar em consideração o investimento dessas distribuições em um CDB que oferece rendimento de 110% do DI.
Portanto vamos trazer para essa simulação o histórico do DI da mesma época. Segue a tabela com o desempenho da carteira:
As distribuições de BRCR11 corrigidas por 110% do DI resultaram em R$ 1.122,62! As distribuições de BRCR11 totalizaram o valor de R$ 774,17.
Então o resultado auferido através do CDB de 110% seria de R$ 348,45. Segue tabela com a evolução dos R$ 1.531,60 aplicados em um CDB de 100% DI:
Analisando os dados apurados nas aplicações em BRCR11 e no CDB de 100% do DI, podemos identificar uma boa diferença.
Nesses 6 anos aplicados, os R$ 1.531,60 renderiam R$ 1.249,30! Resultado acumulado de R$ 2.780,90.
Se o investidor somar o valor de mercado das cotas de BRCR11 junto ao saldo aplicado no CDB de 110% do DI, o valor acumulado seria de R$ 2.122,12!
A aplicação do valor de R$ 1.531,60 no CDB de 100% do DI rendeu 31% a mais do que em BRCR11, dentro do período de 6 anos.
Com certeza, seria preferível investir em um CDB com 100% do DI do que aplicar os recursos em BRCR11 (seguindo esses moldes).
Mas se ao invés de permanecer, aplicado 6 anos, o investidor ficasse 20 anos?
Como não temos dados históricos para aumentar esse período de simulação, vamos fazer a mesma utilizando os dados dos últimos períodos.
Portanto a distribuição de BRCR11 será de R$ 0,35 por cota, sendo que o DI vai continuar em 6,39% ao ano. Segue a tabela com a evolução das distribuições corrigidas por 110% do DI:
Nessa simulação de 20 anos, o resultado final ficou em R$ 3.997,03!
Levando em consideração o valor de mercado de BRCR11, o resultado final seria de R$ 4.996,53. Lembrando que o investimento inicial seria de R$ 1.531,60.
Levando isso em consideração a rentabilidade final desse aporte (junto das aplicações das distribuições) seria de 226%!
Mesmo com um valor de distribuição baixo (R$ 0,35 por cota), BRCR11 ainda consegue um bom desempenho.
Querendo ou não, o investimento em BRCR11 mais os investimentos das distribuições duplicaram o valor inicial.
Na próxima tabela vamos conferir como ficará a simulação levando em consideração a aplicação de R$ 1.531,60 em um CDB que pague 100% do DI. Segue as tabelas com o desempenho:
O resultado final foi de R$ 6.786,95! A diferença para a carteira de BRCR11 foi de R$ 1.790,42!
O rendimento da aplicação de R$ 1.531,60 em um CDB com 100%, dentro dos 20 anos da simulação, foi de 343%!
Resumindo; mesmo com um período maior, a carteira de BRCR11, tendo suas distribuições aplicadas em um CDB com 110% do DI não conseguiria superar a aplicação simples em um CDB de 100%.
Querendo ou não, a desvalorização das cotas de BRCR11 acabou prejudicando muito o desempenho da estratégia.
Tecnicamente, o valor das cotas de BRCR11 deveria se valorizar com o passar dos anos e não registrar tamanha desvalorização (mesmo com uma amortização ocorrendo em 2016).
Mas mesmo registrando essa queda no valor das cotas no mercado e tendo uma grande queda nas distribuições, essa estratégia ainda resultou em um saldo positivo de 226% em 20 anos!
Vamos analisar se esse resultado, ao menos, foi superior a correção do valor inicial (R$ 1.531,60) pela inflação!
Nessa simulação vamos trabalhar com o período de 20 anos, sendo que até outubro de 2018 vamos levantar a inflação histórica.
Já nos anos posteriores, vamos trabalhar com as projeções do Banco Central para a meta da inflação.
- 2018: 4,5%
- 2019: 4,25%
- 2020: 4%
- 2021: 3,75% (Vamos utilizar 3,75% para os próximos anos).
A minha expectativa é que BRCR11 com os valores das distribuições aplicados consiga superar a inflação.
Tecnicamente, um rendimento equiparado à inflação é o mínimo que deve se esperar de um investimento.
Na verdade, por se tratar de um investimento, você deve procurar ativos que consigam proporcionar ganhos acima da inflação.
O DI e a Selic são taxas que grande parte dos investimentos oferece como base de rendimento.
Sendo que ativos que possuem rendimento de 100% do DI ou da Selic, não é algo difícil de encontrar. Segue tabela com a simulação:
O valor de R$ 1.531,60 corrigidos pela inflação alcançou a soma de R$ 3.768,04!
A inflação desse período (20 anos) gerou um aumento de 146% sobre o valor inicial.
Então o investimento em BRCR11 não traria perdas para o seu poder de compra (caso todas as métricas se mantivessem).
Observando esses estudos, concluímos que dificilmente conseguiremos superar o DI sem investir em mais FII.
Construir uma carteira com mais FII será preciso para conseguir superar o DI no longo prazo, ou até, em um prazo menor (como os 6 anos iniciais).
Existem vários FII disponíveis no mercado. O próximo FII que vamos inserir nessa carteira e fará parte da segunda carteira de FII é KNCR11. KNCR11 é um FII que diferentemente de BRCR11, não investe em imóveis, mas sim em papéis com lastro em imóveis.
Tais papéis são os CRI (Certificados de Recebíveis Imobiliários) e as LCI (Letras de Crédito Imobiliário).
Carteira de FII 2 (BRCR11 + KNCR11)
KNCR11 será adicionado a nossa carteira de FII. Então a carteira vai ser construída sobre os dois FII, BRCR11 e KNCR11.
Sendo assim, o valor inicial será maior. A carteira vai contar com 10 cotas de BRCR11 e 15 cotas de KNCR11. Segue gráfico com o desempenho de KNCR11 ao longo dos anos:
O investimento inicial em KNCR11 será de R$ 103,10. 15 cotas de KNCR11 totalizaram um aporte inicial de R$ 1.546,50.
A aplicação inicial vai ocorrer em Outubro, uma vez que em Novembro já houve distribuição aos cotistas.
Portanto, a carteira de FII vai ficar contar com um investimento inicial de R$ 3.078,10. Sendo que esse valor será dividido em:
- BRCR11: R$ 1.531,60
- KNCR11 R$ 1.546,50
As distribuições de ambos os FII serão investidos em um CDB com rentabilidade equivalente a 110% do DI.
As distribuições de KNCR11 totalizaram um valor de R$ 61,10 por cota.
É importante lembrar que as cotas de KNCR11 no início estavam agrupadas em 10 cotas.
Portanto, se a distribuição era de R$ 0,61 por cota, na verdade, na época, a distribuição era de R$ 6,10.
Depois houve uma divisão das cotas. Mas para realizar essa simulação, resolvi dividir essas distribuições por 10, mantendo o valor por cota “padrão”.
Segue tabela com a evolução das distribuições (investidas) de BRCR11 mais KNCR11:
Com uma carteira contendo aportes similares entre KNCR11 e BRCR11 (praticamente 50% para cada FII), a carteira registrou o valor final de R$ 10.142,33.
Lembrando que em todas essas simulações, não estamos levando em consideração a incidência de taxas e de Imposto de Renda.
Somando o valor das cotas de BRCR11 e KNCR11 mais o valor final, temos o resultado de R$ 12.196,93. O rendimento do aporte inicial (R$ 3.078,10) foi de 296%!
Se antes, com somente BRCR11 a carteira registrou um desempenho de 226%, com a adição de KNCR11 a carteira conseguiu um desempenho bem melhor!
Vale destacar que provavelmente, KNCR11 conseguiria ultrapassar o DI nesse período.
Porém o objetivo dessas simulações e analisar a possibilidade de se investir em FII de diferentes estratégias, diversificando a carteira, mas sem perder para o DI.
Ao menos, até o momento, BRCR11 perdeu para o DI, porém ganhou com certa folga da inflação.
Já KNCR11 conseguiria por si só, apresentar um resultado bem interessante. Vamos analisar como ficou o desempenho da carteira, se a mesma fosse totalmente aplicada em um CDB com 100% do DI:
Novamente o valor corrigido pelos 100% do DI conseguiu um desempenho melhor do que a carteira de FII.
Mas dessa vez a diferença ficou em R$ 1.442,99. O investimento do valor inicial (R$ 3.078,10) no CDB de 100% do DI conseguiu um desempenho 11,83% superior à carteira de FII.
Com relação à inflação não há dúvidas que a carteira conseguiu um desempenho melhor.
Podemos concluir que fundos com investimentos predominantes em CRI/LCI conseguem manter um rendimento “constante” e sem muita volatilidade nas cotas.
Para comprovar essa tese, vou colocar os gráficos de outros 3 FII que trabalham de forma similar a KNCR11.
O primeiro é FEXC11, o segundo FII será KNIP11 e o último será VRTA11. Segue imagem com os gráficos de cada um dos FII (na ordem):
O leitor pode ver que todos esses FII não possuem grande volatilidade em seus gráficos. Dentre os fundos listados agora, KNIP11 é o mais recente.
KNIP11 é um fundo administrado pela KINEA (empresa que também administra KNCR11).
O objetivo de KNIP11 é oferecer aos seus cotistas rendimentos similares as letras do Tesouro IPCA.
KNIP11 investe predominantemente em títulos que possuem rendimentos atrelados ao IPCA (aproximadamente 66% de sua carteira de acordo com o relatório gerencial referente 09/2018).
Com relação às distribuições, esses FII também contam com distribuições constantes.
Os valores oscilam (claro), mas, em média, os FII conseguem gerar um bom fluxo de caixa para os seus cotistas.
Segue imagem com as últimas distribuições de cada fundo só para confirmar a análise.
As tabelas vão ser inseridas seguindo a ordem anterior (FEXC11, KNIP11, VRTA11).
Mesmo com distribuições que podem variar do 1% aos 0,29% ao mês, esses FII que investem em CRI/LCI se mostram muito interessantes e cumprem o papel.
Mas então, porque investir em fundos como BRCR11?
O investimento em BRCR11 pode ser feito com o intuito de conseguir rendimentos acima da média.
Ao analisar novamente o gráfico de BRCR11, (que utilizamos em nossa simulação), identifiquei que investimos nos FII quando o mesmo estava sendo cotado em R$ 153,16, correto?
Mas BRCR11 já registrou valor inferior a R$ 153,16, na verdade, ainda em 2018 BRCR11 chegou a ser negociado próximo dos R$ 80,00.
Portanto, houve, ainda em 2018, a possibilidade de comprar BRCR11 e ainda conseguir aproveitar a valorização das cotas. Coisa que pode acontecer com KNCR11, FEXC11, KNIP11 e VRTA11, porém, com mais dificuldades.
Sendo assim, é preciso investir em FII como BRCR11 e similares, para tentar conquistar um rendimento acima da média.
Esse rendimento pode ocorrer por meio das próprias distribuições, ou através de amortizações e porque não, por meio de sua valorização no mercado.
Lembrando que mesmo se mantendo atrás do DI, a carteira com KNCR11 e BRCR11 superou com facilidade o IPCA (inflação).
Falei que KNIP11, VRTA11, KNCR11 e FEXC11 até poderiam conseguir um rendimento acima da média, mas com certas dificuldades, certo?
Essa dificuldade vem da forma que o FII é construído. Por se tratar de FII que investem em papéis lastreados em imóveis (CRI) o fundo não fica com a participação sobre o empreendimento em si, mas sobre um título. Nesse caso seria um certificado.
Já em BRCR11, o FII é dono de uma participação em diferentes empreendimentos.
Caso um desses empreendimentos sofra uma valorização de 100%, e o gestor do fundo realize a venda com esse resultado, é provável que os cotistas ganhem na amortização das cotas.
Por outro lado se BRCR11 conseguir locar um empreendimento que está vago, pelo dobro do valor do aluguel anterior, é provável que as distribuições sejam maiores e assim, o valor da cota sofra uma valorização no mercado!
Enfim, o resultado da simulação poderia ser bem diferente se o investidor comprasse BRCR11 em momento diferente.
Investindo em BRCR11 em outro momento
Analisando o gráfico, identifiquei outro momento para iniciar uma simulação. Dessa vez vamos construir a simulação em cima do valor de R$ 110,00 por cota!
BRCR11 estava sendo negociado por R$ 110,00 no início de 2015. Mais precisamente em Janeiro. Segue tabela com o desempenho de BRCR11;
Colocando a mesma estratégia praticada nas outras simulações (com o investimento das distribuições em um CDB com rendimento de 110% do DI), agora a carteira com BRCR11 conseguiria superar o investimento em um CDB com 100% do DI! Segue a tabela com o desempenho do aporte inicial aplicados em um CDB com 100% do DI;
Em pouco menos de 4 anos, o cotista de BRCR11 estaria acumulando um patrimônio de R$ 1.680,60 (R$ 999,50 valor das cotas mais R$ 681,10 distribuições corrigida por 110% do DI). Já o valor da aplicação dos R$ 1.100,00 iniciais em um CDB com 100% do DI renderam R$ 1.651,02. Um ganho 1,81% inferior à carteira de BRCR11! Então o que foi mencionado anteriormente faz sentido! Investir em BRCR11 pode ser uma ótima opção. Para o cotista que realizou o aporte seguindo os moldes dessa simulação, é possível que o mesmo esteja desfrutando de um rendimento acima da média. Porém, se o caso do investidor seguir os moldes das primeiras carteiras de BRCR11 (quando a simulação foi baseada em um aporte inicial de R$ 153,16 por cota) então, um eventual ganho acima da média pode levar um pouco mais de tempo para ocorrer.
Carteira com Ações (ITSA4)
Da mesma forma que foi feito com os fundos imobiliários, vamos analisar qual seria o desempenho de uma carteira que contenha ITSA4. Sendo que em nossa simulação, vamos analisar a construção da carteira, dentro do período de Novembro de 1998 até os dias atuais.
O valor inicial desta carteira será de R$ 1.000,00. Sendo que as distribuições vão ser realocadas em produtos de renda fixa, como o CDB, rendendo 100% DI. Com esse valor inicial de R$ 1.000,00 em Novembro de 1998, o investidor poderia adquirir aproximadamente 7100 ações de ITSA4. Sendo que ainda sobraria R$ 6,00 para o investidor (desconsiderando taxas de custódia ou corretagem). Vamos ver como ficou o desempenho da carteira então!
O resultado da carteira de ITSA4 foi fantástico! Só a valorização das ações, que antes foram compradas com um pouco menos de R$ 1.000,00, agora já estão valendo impressionantes R$ 82.406,00!
Somado a isso, temos o valor das distribuições investidas em produtos que rendem 100% do DI, que registraram um valor saldo de R$ 122.782,15! Portanto, o valor total do resultado da carteira é de R$ 206.988,14!
Lógico que ITSA4 foi um exemplo que deu certo, se o investidor fosse escolher por outro ativo, como as empresas de telefonia (que geralmente estavam nas carteiras de boas pagadoras de dividendos), o investidor poderia ter comprado OIBR4!
Em 2007, por exemplo, a OIBR4 estava sendo cotada no mercado por pouco mais de R$ 60,00 a ação (lote de 100 ações por mais de 6.000,00) e hoje a mesma ação não chega aos R$ 2,00!
Só para complementar, OIBR4, desde 2007 até o atual momento, registrou uma distribuição total de R$ 4,79 por ação. ITSA4, por sua vez, registrou uma distribuição de R$ 6,93 por ação (desde o período de 12/98 até o atual ano 11/2018).
Mesmo investindo os valores recebidos de OIBR4 em um produto que rendesse 100% do DI, o investidor teria conseguido manter um saldo de R$ 1.058,40! Um sexto do valor aplicado há, praticamente, 10 anos. Só para complementar esse estudo, segue gráfico de ITSA4;
Independência Financeira
Quanto dinheiro você precisa para viver? A independência financeira está relacionada a diversas coisas e fatores. Desde o padrão de vida até questões relacionadas a estratégias de investimentos, ativos e afins.
Mas o que seria a independência financeira? Em minha opinião é basicamente isso;
“Acumular patrimônio que gere renda suficiente para viver”
Em outras palavras; para conseguir alcançar o status de independência financeira, você precisa juntar dinheiro (patrimônio), sendo que essa quantia deve gerar renda suficiente para financiar suas despesas básicas ou mínimas. Então, para conseguir traçar uma estratégia para alcançar a independência financeira, você vai precisar avaliar qual é o seu padrão de vida.
Padrão de Vida
Todo mundo tem um padrão de vida. Existem pessoas que possuem uma vida mais regrada, exigindo gastos maiores. Por outro lado, existem pessoas que possuem um padrão de vida mais modesto, sem exigir uma renda muito alta. Mas então, qual será o meu padrão de vida? Para conseguir determinar isso, você precisa manter um controle firme das finanças.
Através desse controle você vai conseguir identificar qual é o seu valor de despesas mensais. Dentro desse controle você provavelmente terá gastos com;
- Água
- Telefone/Internet
- Alimentação
- Aluguel/Condomínio/Financiamento da casa
- Energia Elétrica/Gás
Entre várias outras despesas. Ali ainda poderia estar o combustível do carro e os eventuais gastos com manutenção. Enfim, existem diversos gastos que podem ser considerados essências (não foram citados), mas poderiam estar ali.
Construindo o patrimônio
Depois de identificar o seu padrão de vida, chegou a hora de construir o patrimônio! Será através desse patrimônio (dinheiro investido e aplicado em diferentes ativos) que levará você a independência financeira e uma vida mais tranquila. Para conseguir desenvolver uma boa simulação, vamos levar em consideração diversos fatores, dentre eles a inflação. Segue a primeira simulação;
CDI (6,39%) descontando a inflação (4,5% ao ano) = 1,89% ao ano. Através das planilhas a seguir você poderá acompanhar a evolução dos aportes mais o rendimento descontando a inflação.
Desse modo conseguimos identificar quanto tempo é necessário para conseguir acumular um patrimônio equivalente ao valor desejado no início do projeto (o valor desejado no início era de R$ 2.000,00 ao mês).
Nessa simulação, o investidor teria em mãos um patrimônio que poderia gerar aproximadamente R$ 2.030,00 por mês! Já descontando o imposto de renda! Se o objetivo era conquistar os R$ 2.000,00 por mês, então o objetivo foi conquistado.
O interessante deste exemplo é que já inserimos o efeito inflação sobre o patrimônio. Na verdade, o investidor estaria com um patrimônio bem maior do que os R$ 448.650,17.
Mas, com o intuito de facilitar a explicação, resolvi descontar a inflação do rendimento do patrimônio e assim, o valor final representa o poder de compra atualizado.
Você vai gerar um valor mensal superior aos R$ 2.030,00, porém o poder de compra será equivalente aos R$ 2.030,00 atuais!
Inflação no futuro?
Infelizmente essa primeira simulação desconsidera os efeitos da inflação no futuro.
Levamos em consideração os efeitos de uma inflação durante todo o percurso para chegar aos R$ 448.650,17, porém desconsideramos os efeitos da inflação nos anos seguintes, quando os R$ 2.030,00 já estarão remunerando o investidor.
Em outras palavras, o investidor, dessa forma, não vai conseguir atualizar o seu poder de compra ao longo dos anos.
O que deveria acontecer é o seguinte; no próximo ano, que o investidor estaria retirando o valor de R$ 2.030,00 mensalmente, o seu patrimônio deveria gerar os R$ 2.030,00 mais 4,5% a título de inflação.
Ou seja, o valor deveria ser aproximadamente R$ 2.121,35! No ano seguinte, o valor deveria ser de R$ 2.216,81 e assim por diante.
Mas então, qual valor poderia me assegurar à atualização anual do poder e compra?
Tecnicamente, o patrimônio acumulado deve considerar o rendimento anual menos a inflação anual.
Ou seja, ao invés de acumular um patrimônio que consiga gerar R$ 2.030,00 ao mês, o investidor deve acumular um patrimônio que possa gerar esses mesmos R$ 2.030,00, porém, com um rendimento menos a inflação.
Em nossa simulação trabalhamos com um rendimento de 6,39% ao ano, correto?
Então, na verdade, os R$ 2.030,00 deverão ser gerados com um rendimento de 1,89%! Ah, sem esquecer-se do imposto de renda! Existe ainda a retenção de 15%!
Então o patrimônio acumulado deve ser ainda maior! Pelas minhas contas, considerando uma inflação de 4,5% ao ano e o rendimento atrelado ao DI de 6,39% ao ano, o investidor teria que acumular um patrimônio de R$ 1.500.000,00!
Desse modo, ano após ano, o investidor estará seguro que o seu patrimônio continuaria crescendo e os rendimentos continuariam cobrindo a inflação ao longo dos anos.
Mas quanto tempo seria necessário para alcançar tal valor? Respeitando os aportes de R$ 850,00 ao mês e o rendimento do DI descontado da inflação (1,89% ao ano)?
Devido à extensão das tabelas demonstrando a evolução das contas vou, somente, citar o tempo necessário. O investidor precisaria de aproximadamente 70 anos e 5 meses para conseguir os R$ 1.500.000,00!
Mas então, será que o investidor está condenado a essa caminhada? Não! Definitivamente, não! Existem vários outros ativos que podem potencializar os seus rendimentos.
Sem falar que ainda existe a possibilidade de aumentar os aportes mensais, ou até trabalhar com um aporte inicial substancial!
Três Fatores!
Dentro da estratégia de acúmulo de patrimônio e consequente, independência financeira, devemos levar em consideração os “Três Fatores”, eles são;
- Tempo
- Rendimento
- Aportes
Cada um desses fatores pode influenciar no caminho do investidor. Até o momento trabalhamos com uma simulação que privilegia o tempo em detrimento do rendimento.
100% do DI não é um dos melhores rendimentos que temos no mercado. Na verdade, os 100% do DI seria algo equivalente à média do mercado.
Então o que poderia acontecer, caso a rentabilidade da carteira do investidor fosse superior? Em uma situação assim, provavelmente, o investidor precisaria de menos tempo para conseguir alcançar os mesmos resultados.
Com um rendimento maior, o investidor precisa de menos recursos para gerar os R$ 2.000,00 mensais corrigidos pela inflação anual. O rendimento ao longo dos meses e dos anos consegue gerar um excelente feito sobre o patrimônio e consequentemente sobre os resultados dos investimentos.
Vamos supor que ao invés de 6,39% ao ano, o investidor conseguirá 120% do DI.
Então ao invés de acumular R$ 1.500.000,00, o investidor vai precisar de R$ 900.000,00!
Uma redução de 40% no tamanho do patrimônio. Lembrando que os R$ 900.000,00 são validos, levando em consideração um rendimento de 120% do DI menos os 4,5% de inflação anual e a retenção de 15% de imposto de renda sobre os rendimentos. Segue as tabelas com o percurso que o patrimônio deve fazer até alcançar os R$ 900.000,00!
Dentro desses parâmetros, o investidor precisaria de no mínimo, 42 anos e 2 meses para conseguir alcançar o patrimônio necessário para conseguir gerar os R$ 2.000,00 ao mês mais as correções atreladas a uma inflação de 4,5% ao ano.
O leitor pode ver que as alterações realizadas dentro dos “três fatores” influência de forma direta o percurso do investidor.
Nesta última simulação levamos em consideração os aportes de R$ 850,00 ao mês, porém, com um rendimento de 120% do DI (durante o acumulo de patrimônio e depois, quando os R$ 2.000,00 estarão sendo gerados mensalmente).
A alteração do rendimento já reduziu tanto o tempo para conseguir o patrimônio necessário, quanto o valor do patrimônio.
Mas será que só existe essa forma de conseguir alcançar um valor que possa oferecer condições de alcançar certa independência financeira?
Não. Na verdade nós utilizamos o DI com o intuito de simplificar toda a demonstração.
Porém existem outros produtos financeiros que podem nos ajudar nessa caminhada. Na verdade existem vários outros.
Mas primeiro vamos falar do Tesouro Direto. Dentre os títulos oferecidos pelo Tesouro Direto, temos o Tesouro IPCA (que inclusive é uma das letras mais negociadas do Tesouro Direto).
Simulação com o Tesouro IPCA
Com o intuito de melhorar essa explicação (simulação) vamos trabalhar com a própria calculadora do Tesouro Direto.
Nosso objetivo aqui é o seguinte. Utilizar o Tesouro IPCA+ para conseguir alcançar o valor necessário para conseguir gerar os R$ 2.000,00 ao mês através dos 120% do DI (levando em consideração o DI de 6,39% ao ano).
Estamos utilizando o Tesouro IPCA+ nessa simulação, devido ao fato que a letra possui correção pelo IPCA (inflação).
Além da rentabilidade atrelada a uma taxa prefixada. Essa taxa prefixada serve como o “juro real”.
Ou seja, se a taxa prefixada for de 5% ao ano, esses 5% ao ano serão o rendimento real de nossa aplicação.
Segue imagem com a tabela de preços e taxas do Tesouro Direto no momento em que essa simulação está sendo desenvolvida;
O leitor pode ver que na última imagem temos uma letra do Tesouro destacada em vermelho.
A letra é o Tesouro IPCA+ com vencimento para 2045. Como faremos a simulação então?
Vamos inserir um valor que consiga (dentro dos parâmetros do período e da letra) alcançar o montante de R$ 900.000,00 líquidos de imposto de renda.
Por se tratar de uma letra que está oferecendo um juro prefixado de 5,23% ao ano, a rentabilidade de tal letra, ou melhor, da estratégia em si, será superior às outras simulações já realizadas.
Nessa simulação vamos levar em consideração uma inflação de 4,5% ao ano.
Portanto, a rentabilidade total, anual, será de algo próximo dos 9,73%.
O que tecnicamente, não é nada mal mesmo! Ainda mais quando estamos lidando com um dos ativos mais seguros do Brasil, as letras do Tesouro Direto.
Segue o resultado de nossa simulação dentro da calculadora do próprio Tesouro Direto;
Levando em consideração o investimento no início de 2018, seria preciso iniciar essa aplicação com, pelo menos, R$ 82.000,00.
Com os R$ 82.000,00, o investidor conseguiria facilmente acumular mais de R$ 900.000,00 líquido de imposto de renda.
Então, o investidor teria que traçar uma estratégia para conseguir acumular os R$ 82.000,00, para então, alcançar os R$ 900.000,00 por meio do Tesouro IPCA+.
Lembrando que o efeito de tal estratégia só deu resultado devido ao aporte de R$ 82.000,00 no início.
Além da inflação se mantendo dentro dos 4,5% ao ano e da atual taxa de juro oferecida pela letra (5,23% ao ano).
O período até o vencimento do papel também contribuiu nessa simulação. São aproximadamente 27 anos.
ETF BOVA11 e IVVB11
A próxima estratégia de carteira é com os ETF. O ETF é um fundo de fundos.
Diferente de boa parte dos fundos, os ETF são negociados na bolsa, de forma semelhante às ações ou os FII.
O investidor pode utilizar os ETF como uma forma de manter parte do patrimônio posicionado em ativos relacionados a ações.
Por se tratar de fundos que seguem índices relacionados ao mercado, nessa estratégia vamos mostrar uma carteira que possui o patrimônio dividido em dois ETF;
- BOVA11
- IVVB11
A carteira terá um valor de R$ 10.000,00. Sendo que a carteira será construída (nessa simulação) em meados de Março de 2014. Ao longo dos meses, a carteira vai sofrer alterações entre os dois ativos, BOVA11 e IVVB11. Essas modificações serão denominadas de compensações e balanceamento.
Com o intuito de deixar a carteira com 50% para cada ETF, quando um dos ETF estiver apresentando uma valorização acima do “normal” vamos simular a venda do ETF e posterior compra do outro.
Então a nossa primeira tabela vai demonstrar a evolução da carteira, levando em consideração o investimento de 50% em IVVB11 e BOVA11. De forma semestral, haverá o balanceamento da carteira, desse modo aquele ativo que estiver com o resultado maior terá algumas cotas vendidas, e com esses recursos, vamos comprar mais cotas do outro ETF (equilibrando a carteira novamente).
A carteira que iniciou com um pouco menos de R$ 10.000,00 teve um resultado muito bom, chegando a ultrapassar os R$ 22.300,00. Levando em consideração que do início da carteira, até o último mês, a mesma teve um período de 56 meses para conseguir alcançar o resultado, realmente, a bolsa estava extremamente interessante.
Só para título de comparação, se o investidor não realizasse o balanceamento da carteira, o resultado seria de, pouco mais de R$ 21.300,00, ou seja, o balanceamento foi responsável, por um ganho de pelo menos R$ 1.000,00! Ou um incremento de 4,5% sobre o valor de R$ 21.300,00 (conquistados sem o balanceamento). Para complementar o estudo, segue os gráficos de BOVA11 e IVVB11;
Lembrando que não levamos em consideração o recolhimento de imposto de renda! Em operações com lucros, tanto os FII quanto os ETF possuem a obrigação de gerar guias para recolher imposto de renda.
A alíquota de IR pode variar entre os 20% (para operações de curtíssimo prazo, Day Trade, ou 15%, para operações normais). Portanto, antes de começar a fazer o balanceamento da carteira veja se existe tal necessidade e se os impostos não vão prejudicar a performance da carteira como um todo.
Outra coisa, caso o investidor esteja aumentando a carteira constantemente, com novas aquisições, não vejo necessidade de vender cotas de um ETF para comprar o outro.
O investidor pode simplesmente comprar mais cotas de um ETF, e assim, balancear a carteira como um todo!
Querendo ou não, o balanceamento por meio de mais investimentos na carteira pode potencializar ainda mais o desempenho da mesma e isentar o investidor de um eventual imposto de renda (uma vez que não haverá vendas).
Vale destacar que escolhi os ETF, BOVA11 e IVVB11 porque são dois ETF semelhantes (cada um representa índices da bola as de valores), mas não possuem uma relação direta. Enquanto BOVA11 espelha o índice Ibovespa do Brasil, o IVVB11 é um espelho do índice S&P 500 dos Estados Unidos. Além de seguir o desempenho do índice norte-americano, o ETF também é influenciado pelo dólar.
Isso acaba trazendo uma relação (negativa) entre os dois ativos, coisa que pode potencializar os ganhos por meio do balanceamento (existe uma chance maior dos ETF caminharem de formas diferentes, um se valorizando e outro se desvalorizando).
O investidor também pode fazer essa carteira com outros ativos, o Fundo Cambial Votorantim também pode trazer essa relação (negativa) entre os ativos (BOVA11).
Mas no próximo exemplo, vamos fazer uma carteira com um CDB (ou algo do gênero ) que renda 100% do DI.
ETF BOVA11 + CDB 100% CDI
Nessa simulação vamos trabalhar com uma carteira que tenha 2 ativos nas seguintes proporções;
- CDB 100% CDI – 90%
- BOVA11 – 10%
O balanceamento da carteira vai acontecer de 6 em 6 meses, sendo que nos dois primeiros meses da simulação nada ocorrera, e no último mês também, segue;
Ao final, com um investimento inicial de R$ 10.000,00, o investido teria aproximadamente R$ 26.971,14.
Caso o investidor não fizesse o balanceamento da carteira, o valor final de seria de R$ 26.581,52.
Novamente o balanceamento da carteira nos trouxe bons resultados!
Porém, devido à correlação ser um pouco mais próxima (não tão “negativa”) diferente da carteira com IVVB11, o ganho oriundo do balanceamento não foi tão alto.
Final
Essa obra é resultado de investimentos já realizados, além de muitas simulações e estudos sobre determinados cenários econômicos.
A construção dessa obra serve como autoajuda do próprio autor.
Nada melhor do que escrever os próprios pensamentos e conclusões sobre algumas estratégias.
Ao colocar no computador, ou papel, tais pensamentos, nós podemos refletir e gerar melhorias em nossas estratégias e até colocar as novas ideias (ou as ideias melhoradas) em prática.























































